AVVR series multi-core sheathed cables

Characteristic
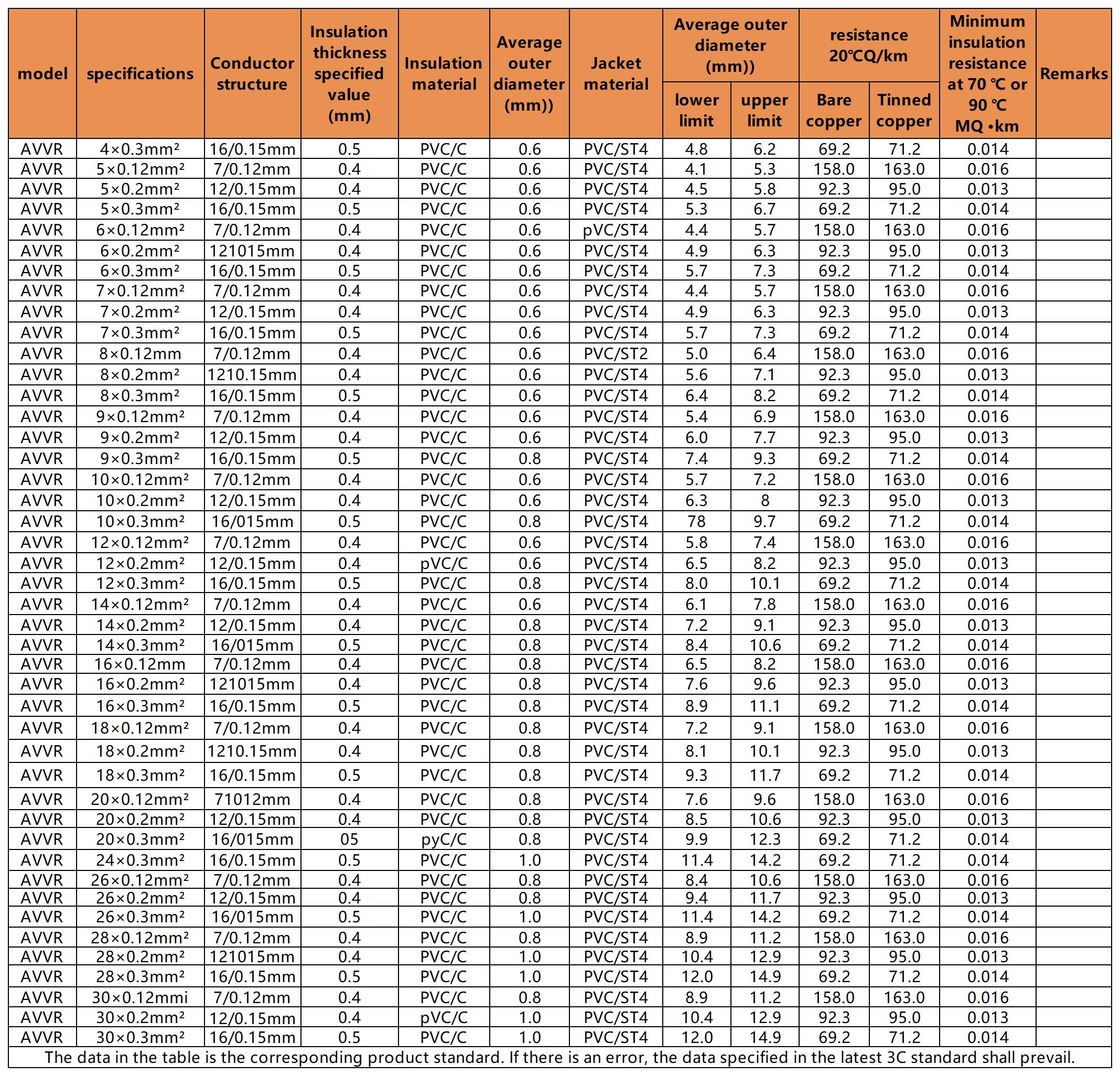
◆ Conductor: multiple branches of 4N grade anaerobic copper wire stranded
◆ Core wire voltage test: 1500V / 5min / 10 mA ◆ insulation: PVC / C
◆ Finished product voltage test: 1500V / 5min / 10 mA ◆ Fill: optional
◆ Cover: PVC / ST4 ◆ core: 2~30 core ◆ shield: no ◆ rated voltage 300 / 300V ◆ cable: right twisted
◆ Number of conductor squares: 0.08~0.4mm²
◆ Common sheath color: white, black, gray ◆ Execution standard: JB/T8734.4-2016 application Application
UB/T8734.4-2016 Standard PVC insulated PVC sheathed electric cable, suitable for ac rated voltage 300 / 300V and below electrical appliances, instruments and electronic equipment automation device internal wiring copper core installation wire. Mainly used for security engineering wiring, such as: alarm system, access control system, etc.
Reference model

Technical parameters (for reference only) Construction


